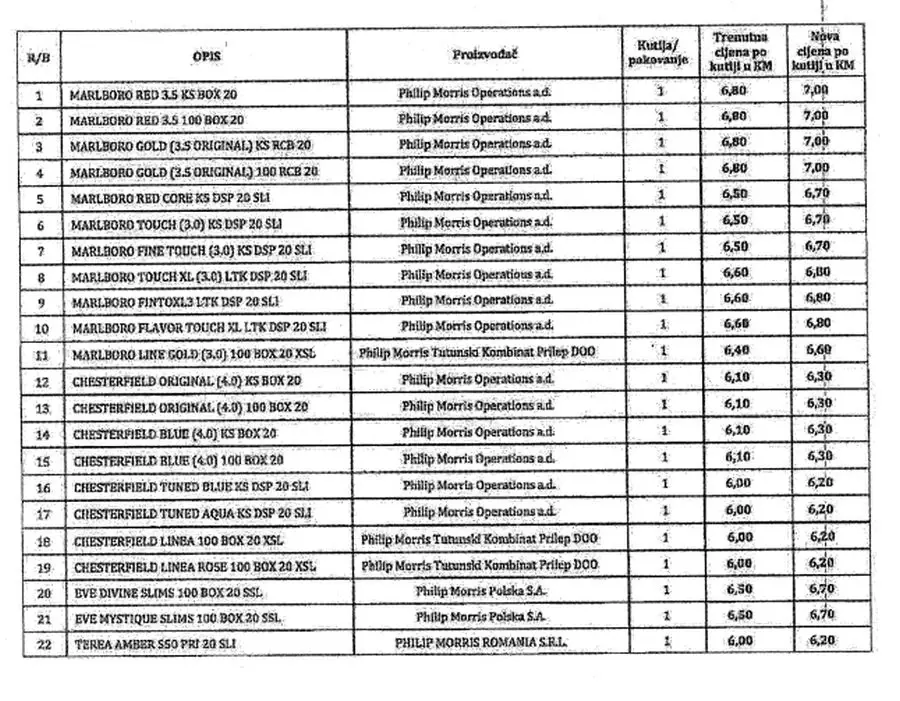
Uprava za neizravno oporezivanje Bosne i Hercegovine obavijestila je o novim maloprodajnim cijenama cigareta od tri distributera.
Cigarete kompanije TDR poskupjet će od 13. veljače, zatim od 19. veljače primjenjuju se nove cijene Philip Morrisa, a od 9. ožujka to će učiniti Nelt.
U nastavku pogledajte nove cijene:







